Pengertian limit dalam ilmu matematika. Contoh soal limit barisan dan penyelesaiannya pdf kumpulan dokumen file guru modul guru pembelajar slbtksdsmpsmasmk lengkap 2016.

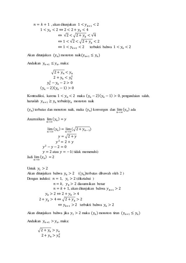
Analisis Real Barisan Bilangan Real Latihan Bagian 2 3
Contoh soal limit barisan dan penyelesaiannya. N 15 b 6 2 10 6 4 u1 a 2. Inilah pembahasan lengkap terkait contoh soal uji z dan penyelesaiannya. 12 contoh soal limit fungsi matematika written by unknown published at 108 pm categorized as matematika. Sebagai contoh produksi maksimum dari mesin suatu pabrik dapat dikatakan merupakan limit untuk pencapain hasil. Bagaimana tips dan trik mengerjakan soal psikotes dengan mudah seperti contoh soal psikotes gambar dan soal psikotes pauli. Pada prakteknya pencapaian tersebut tidak tepat tapi mendekati sedekat dekatnya.
Un a n 1 b u15 2 15 14 2 144 2 56 58. Tentukanlah suku ke 15 barisan 2 6 10 14 jawab. Limit biasa dipakai pada kalkulus dan cabang lainnya dari analisis matematika untuk mencari turunan dan lanjutan. Kajiannya beda dengan kalkulus. Terdapat barisan dan deret aritmatika. Limit didalam konsep ilmu matematik biasa digunakan untuk menjelaskan suatu sifat dari suatu fungsi saat agumen telah mendekati pada suatu titik tak terhingga atau sifat dari suatu barisan saat indeks mendekati tak hingga.
Konsep limit digunakan dalam berbagai macam bidang dalam kehidupan sehari hari. Rumuscoid setelah sebelumnya kita membahas tentang rumus persamaan nilai mutlak kali ini kita akan membahas materi tentang rumus limit matematika kita akan jabarkan secara detail dan lengkap dari pengertian limit teorema limit rumus beserta contoh soal dan pembahasannya. Contoh barisan aritmatika. Suku keberapakah yang nilainya 198. Rumus barisan dan deret aritmatika beserta contoh soal dan penyelesaian lengkap aritmatika atau aritmetika berasal dari bahasa yunani αριθμός yang berarti angka yang dulu biasa disebut dengan ilmu hitung yaitu cabang tertua atau pendahulu dario matematika yang mempelajari operasi dasar bilangan. Limit matematika adalah suatu konsep dalam ilmu matematik yang biasa digunakan untuk menjelaskan suatu sifat dari suatu fungsi saat agumen telah mendekati pada suatu titik tak terhingga atau sifat dari suatu barisan saat indeks mendekati tak hingga.
Kali ini kita akan membahas tentang baris dan. Limit biasa dipakai dalam kalkulus dan cabang lainnya dari analisis matematika untuk mencari turunan dan kontinyuan. Limit barisan merupakan salah satu materi lanjutan analisis real. Contoh soal tersebut berdasarkan trend contoh soal psikotes yang beredar di indonesia. Admin dari blog barisan contoh 2019 juga mengumpulkan gambar gambar lainnya terkait contoh soal uji z dan penyelesaiannya dibawah ini. Contoh soal limit soal no1.
Kalkulus lebih menitikberatkan pada proses perhitungan sedangkan analisis real menitikberatkan pada proses analisis definisi dan teoremanya. Contoh soal limit barisan dan penyelesaiannya pdf yang bisa anda unduh secara gratis dengan menekan tombol download yang ada pada tautan dibawah ini. Perlu diperhatikan bahwa dalam limit barisan konteks analisis real hanya mengacu pada bilangan asli. Diketahui barisan aritmetika 3 8 13 tentukan suku ke 10 dan rumus suku ke n barisan tersebut.