Grafik fungsi y x2 m y x y x pembahasan ujian akhir semester ganjil 20052006 kalkulus 1 ma1114 senin 2 januari 2006 uas 2005 2006 kalkulus i ma1114 yxm membagi luas daerah d menjadi 2 bagian yang sama. Saturday march 9 2013.

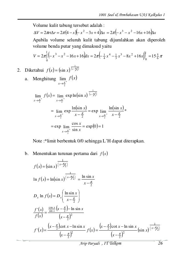
1001 Soal Pembahasan Kalkulus
Contoh soal kalkulus 1. Soal nomor 1 buktikan bahwa displaystyle limx y to. 1001 soal pembahasan uas kalkulus i 1. Today quote jangan membuat kisah cintamu seperti garis asimtot yang hanya bisa mendekat tapi tidak akan pernah bersatu. Membuat login form dengan php level multi user vocaloid 2 hatsune miku full free download cara import database ke phpmyadmin yang file nya opt frm myd myi. Calculus artinya batu kecil untuk menghitung adalah cabang ilmu matematika yang mencakup limit. Berikut ini adalah 8 soal ujian tengah semester kalkulus integral ta 20172018 yang diujikan oleh drs.
1 comments konsep dasar limit kalkulus 1 contoh soal kalkulus limit posted by rizal hidayat at 752 am. Home unlabelled kalkulus 1. Posted in kumpulan soal soal tagged 10 contoh soal integral tak tentu contoh soal integral akar contoh soal integral dan pembahasannya pdf contoh soal integral kalkulus contoh soal integral pecahan contoh soal integral substitusi contoh soal integral tak tentu bentuk akar contoh soal integral tak tentu dari fungsi aljabar. Berikut ini adalah 5 soal uas kalkulus lanjut ta 20172018 yang diujikan pada tanggal 11 januari 2018 oleh drs. Contoh soal dan pembahasan kalkulus 1 integral. Keunggulan dalam memecahkan masalah matematis yang sulit dipecahkan menjadi salah satu faktor mengapa materi ini dipelajari secara luas dan salah satu ilmu penting di matematika.
Teori elektromagnetik maxwell dan teori relativitas einstein juga dirumuskan menggunakan rumus kalkulus diferensial. Soal nomor 1 hitung displaystyle int dfrac3x2 22sqrtx5sqrt3x2textdx soal nomor 2 hitunglah displaystyle int dfrac23 cos4 xtextdx soal nomor 3 hitunglah. Cara membuat program olah data sederhana menggunakan netbean. Limit dasar dan contoh soal limit. Contoh soal kalkulus dasar dan jawaban pembahasan kalkulus merupakan metode ini didasarkan pada turunan dan fungsi dengan metode yang didasarkan pada penjumlahan perbedaan yang sangat kecil. Cara menggunakan ssh di android.
Contoh soal dan jawaban kalkulus. Kedua jenis utama adalah kalkulus diferensial dan kalkulus integral. Diketahui daerah d dibatasi oleh grafik y x2 dan y x. Tutorial mencari bugs host. Limit dasar dan contoh soal limit. Dian ahmad bs msi kepada mahasiswa semester 3 program studi pendidikan matematika fkip untan.
Bahkan rumus umum dari hukum kedua newton. Secara garis besar contoh soal kalkulus adalah sebuah materi yang amat penting dalam berbagai ilmu termasuk matematika. Gaya massa percepatan menggunakan perumusan kalkulus diferensial karena percepatan bisa dinyatakan sebagai turunan dari kecepatan. Kalkulus diferensial integral rumus sifat contoh soal by azzahra rahmah posted on december 21 2019 rumuscoid setelah sebelumnya kita membahas tentang rumus kombinasi matematika kali ini kita akan membahas materi tentang rumus kalkulus matematika lengkap kita akan jabarkan secara detail dan lengkap dari pengertian materi rumus dan contoh soal beserta pembahasannya.