Hipotesis yang dikemukakan oleh maxwell mengacu pada tiga aturan dasar listrik magnet berikut ini. Contoh soal gelombang elektromagnetik.
                        Gelombang Elektromagnetik Ppt Download
Contoh soal gelombang elektromagnetik. Manfaat gelombang ini dalam kehidupan sangat banyak. Gelombang elektromagnetik dapat merambat tanpa medium dan mempunyai sifat mirip dengan cahaya. Sifat rumus jenis spektrum manfaat dan contoh soal gelombang adalah suatu bentuk getaran yang merambat pada suatu mediumsatu gelombang bisa dilihat panjangnya dengan menghitung jarak antara lembah dan bukit gelombang tranversal atau menghitung jarak antara satu rapatan dengan satu renggangan gelombang longitudinal. Gelombang elektromagnetik dalam suatu medium memiliki kelajuan 28 x 108 msjika permitivitas medium 1276 x 107 wbam tentukanlah permeabilitas medium tersebut. 18 latihan soal dan pembahasan un fisika sma materi gelombang 19 latihan soal dan pembahasan un fisika sma materi efek doppler. Contoh soal dan jawaban gelombang elektromagnetik 1.
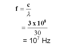
Gelombang manakah yang memiliki energi lebih besar sinar gamma atau sinar x. Jenis contoh rumus dan contoh soal. Gelombang elektromagnetik apakah yang memiliki periode 10 16 sekon. Contoh menghitung frekuensi 2 jenis gelombang elektromagnetik. Pesawat radar digunakan untuk mendeteksi pesawat udara yang ternyata pesawat radar dapat menangkap gelombang radarnya setelah dipantulkan oleh pesawat udara dalam waktu 01 sekon. 1 response to 23 latihan soal dan pembahasan un fisika sma materi gelombang elektromagnetik nurul ilmarsah rustam 17 may 2018 at 0601.
Dengan menggunakan persamaan maxwell diperoleh. Sinar gamma memiliki frekuensi hingga 10 22 sedangkan sinar x memiliki frekuensi 10 20. Gelombang manakah yang memiliki energi lebih besar sinar gamma atau sinar x. Sinar gamma ialah merupakan gelombang elektromagnetik yang mempunyai frekuensi terbesar dan bentuk radioaktif yang dikeluarkan inti inti atom tertentugelombang ini juga memiliki energi yang besar yang dapat menembus logam maupun beton. Pengertian gelombang elektromagnetik dan contoh soal teori gelombang elektromagnetik pertama kali dikemukakan oleh james clerk maxwell 18311879. Sinar gamma memiliki frekuensi hingga 10 22 sedangkan sinar x memiliki frekuensi 10 20.
Berapakah jarak pesawat radar dan pesawat udara saat itu. C 28 x 108 ms ε 1276 x 107 wbam. Jenis gelombang apakah yang memiliki panjang gelombang dengan orde beberapa meter. September 22 2019 januari 26 2020 admin contoh soal gelombang elektromagetik gelombang elektromagnetik postingan ini membahas tentang contoh soal manfaat gelombang elektromagnetik dan jawabannya. Gelombang elektromagnetik adalah gelombang yang dalam perambatannya tidak memerlukan medium atau zat perantara.

















