Pengertian populasi ialah kumpulan dari semua kemungkinan orang orang benda benda dan ukuran. Contoh soal abc company memproduksi remote control dengan menggunakan dua baterai.
                        Contoh Soal Distribusi Sampling Rata Rata Contoh Soal Terbaru
Contoh soal distribusi sampling. Distribusi sampling yang lain a. Sebuah alat elektronik diberikan jaminan tak akan rusak rata rata selama 800 hari. Distribusi sampling beda 2 rata rata bila sampel sampel bebas berukuran n1 dan n2 diambil dari dua populasi yang besar dengan nilai tengah μ1 dan μ2 dan dev. Berapa peluang alat elektronik tersebut tak akan rusak antara 778 hari dan 834 hari. Seorang peneliti akan menafsir rata rata waktu menyelesaikan studi mahasiswa stkip garut. Contoh soal distribusi normal iii 3.
Berapa peluang alat elektronik tersebut tak akan rusak antara 778 hari dan 834 hari. Sebuah perusahaan mainan memproduksi mobil mobilan dengan remote control yang menggunakan dua baterai. Contoh soal sampling dan distribusi sampling 1 free download as powerpoint presentation ppt pdf file pdf text file txt or view presentation slides online. Distribusi sampling rata rata dan proporsi. Distribusi sampling rata rata dan proporsi 1. Pada bahasan ini distribusi sampling yang diberikan adalah distribusi sampling mean dan distribusi sampling selisih dua mean.
Soal distribusi sampling sebuah perusahaan memproduksi statistika berikan satu contoh soal sederhana beserta tutorial statistika distribusi normal dengan tabel z contoh soal distribusi normal ilmu pengetahuan populer 5 tabel t pengertian probabilita tabel t dan contoh soal soal. Distribusi sampling yang lain a. Contoh soal abc company memproduksi remote control dengan menggunakan dua baterai. Distribusi sampling rata rata dan proporsi ringkasan teori populasi dan sampel populasi adalah semua objek atau individu yang akan diteliti sedangkan sampel. Contoh soal distribusi sampling rata rata dan jawabannya. Rata rata umur baterai yang digunakan di produk ini adalah 35 jam.
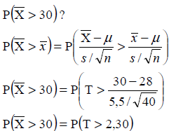
Kebutuhan akan distribusi sampling. Distribusi sampling soal jawab. Z x 1 x 2 µ1 µ1 σ x1 x 2. Dalam statistika inferensi terdapat hal penting dalam menyimpulkan populasi yang menjadi perhatian peneliti ketika hal ini menjadi tidak mungkin untuk mengamati seluruh himpunan pengamatan yang membangun populasi. Soal distribusi sampling rata rata dan proporsi 1. Standar σ1 dan σ2 maka.
σ 12 σ 22 µ x1 x 2 µ1 µ 2 dan σ x1 x2 n1 n2 shg. Beda rata rata sampel akan menyebar mendekati distribusi normal dengan. Dengan standar deviasi 40 hari. Itulah berbagi kumpulan data terkait contoh soal distribusi sampling rata rata dan jawabannya. Berapa peluang alat elektronik tersebut tak akan rusak antara 778 hari dan 834 hari. Contoh soal abc company memproduksi remote control dengan menggunakan dua baterai.













