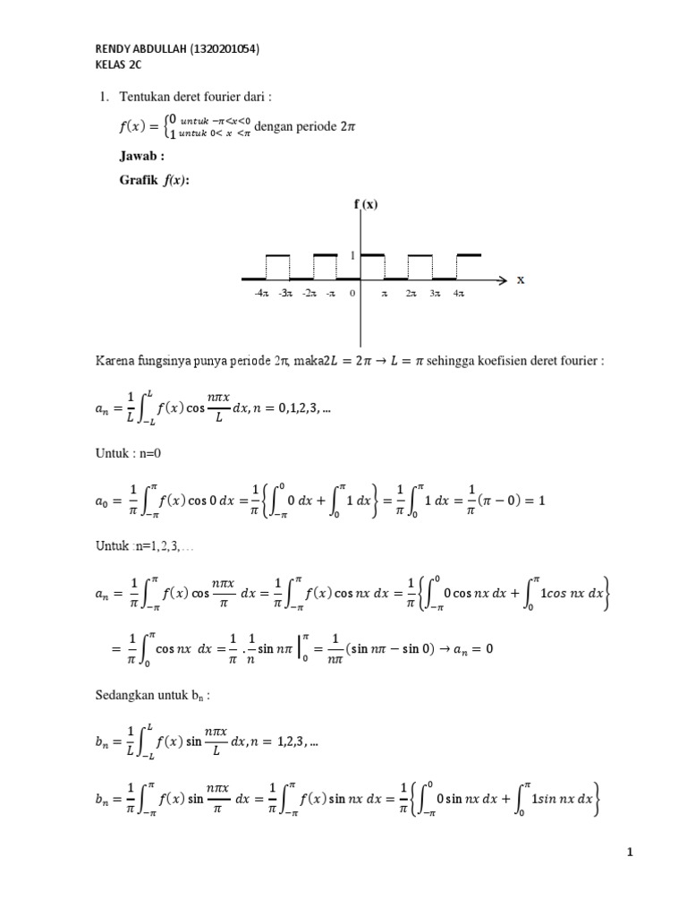
Jangkaun yang divari hanya a 0 dan a n. Admin blog contoh soal terbaik 2019 mengumpulkan gambar gambar lainnya yang berhubungan dengan kumpulan contoh soal deret fourier dan penyelesaiannya dibawah ini.
                        Deret Fourier Stefanuswindarhariadi S Blog
Contoh soal deret fourier dan penyelesaiannya. Fungsi dengan periode tak terhingga atau tidak periodik dapat juga diuraikan dengan deret fourier tetapi penjumlahan pada deret digantikan dengan integral. Deret fourier dan deret taylor myblog. Dalam matematika fungsi priodik dipelajari jika anda membahas tentang sinus dan cosinusagar menambah pemahaman dalam artikel ini kita akan bahas mengenai fungsi priodik sinus dan cosinus. Deret fourier sinus dan cosinus ppt download. Deret dan transformasi fourier majalah 1000guru. Deret fourier by muhamad rizal dirgantara on prezi.
Contoh soal deret fourier info populer june 03 2018. Inilah pembahasan selengkapnya mengenai contoh soal dan pembahasan deret fourier. Untuk sinus ½ jangkauan. Admin blog berbagi contoh soal 2019 juga mengumpulkan gambar gambar lainnya terkait contoh soal dan pembahasan deret fourier dibawah ini. Informasi mengenai contoh soal deret fourier dan penyelesaiannya. Deret fourier dalam kehidupan sehari hari banyak kegiatan kita yang melibatkan funsi priodik seperti dalam pengukuran gelombang kelistrikan bunyi dan lainnya.
Dalam deret sinus bn l dx l n x f x l 0 sin 2 π a0 dan a n 0 untuk cosinus ½ jangkauan dalam deret cosinus a0 l f x dx l 0 2 an l dx l n x f x l 0 cos 2 π bn 0 contoh soal perderetkan fx e x untuk 0 x π dalam deret sinus. Kumpulan contoh soal deret fourier dan penyelesaiannya contoh soal deret fourier.














