Bagaimana cara menghitung bep sobat. Sobat hitung ketika anda memulai usaha pastilah ada komponen pokok berupa modal.
                        Pengertian Rumus Dan Cara Menghitung Break Even Point
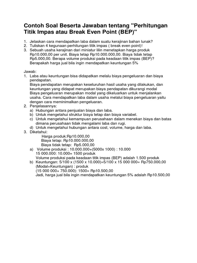
Contoh soal bep multi produk. Berapa break even point dalam rupiah. Perusahaan menjual dua jenis produk a dan b. Lilianto ichsan membuat dan menjual dua jenis produk yaitu kosimil dan lusimol. Break even point yang biasanya dalam bahasa indonesia disebut dengan titik impas ini biasanya membandingkan jumlah. Tolong bantu saya menjaeab soal ini. Contoh soal bep break even point bisnis usaha.
Membuat break even point dalam rupiah. Analisis break even untuk lebih dari satu jenis produk oleh hendra poerwanto bilamana perusahaan menjual dua macam produk yakni a dan b yang berbeda dalam harga jual per unit maupun biaya variabel per unit. Usaha dagang ud tegar jaya di tahun 2017 mempunyai data data biaya dan rencana produksi sebagai berikut. Pengertian bep break even point dan cara menghitung bep break even point atau sering disingkat dengan bep adalah suatu titik atau keadaan dimana penjualan dan pengeluaran sama atau suatu kondisi dimana penjualan perusahaan cukup untuk menutupi pengeluaran bisnisnya. Modal itu kemudian akan anda belanjakan peraltan mesin tenaga kerja untuk menghasilkan pendapatan. 1500000 biaya penyusutan mobil kijang.
Cara menghitung bep usaha apa itu bep. Contoh kasus break even point. Dalam ilmu akuntansi dikenal namanya break event point bep. 750 harga jual produk b sebesar rp. Bep merupakan titik dimana pendapatan dari usaha sama. Bep dalam keseluruhan atau total tidak berarti bahwa masing masing produk harus dalam keadaan bep.
Posted in ekonomi tagged break even point pdf cara membuat grafik bep cara menghitung bep cara menghitung bep dengan excel cara menghitung bep untuk multi produk cara menghitung bep usaha kecil cara menghitung bep usaha restoran contoh soal bep dan grafiknya contoh soal bep matematika ekonomi contoh soal bep multi produk contoh soal. Sebuah perusahaan mengeluarkan biaya sebesar 9000 untuk sebuah mesin produksi estimasi dari ongkos produksi 3unitpenjualan yg diperoleh dari produk yg dihasilkan mesin itu adalah 6unitberapa unit yg hrus dihasilkan perusahaan sehingga tercapai break even pokoktitik pulang pokok dan jika diketahui dlm 1bulan anda bisa menghasilkan 20unit baju pada. Membuat break even point dalam unit. Ulfa maharani membuat dan menjual dua jenis produk yaitu kosimil dan lusimol. Apabila komposisinya berubah maka bep nya secara total akan berubah pula contoh kasus break even point. 1000 biaya variabel rp.
Perusahaan akan membeli mesin untuk mengganti pekerja jika hal ini dilaksanakan maka biaya tetap akan naik rp 228000 dan biaya variabel akan turun rp 100000 pada penjualan rp 8000000. Total biaya tetap untuk kedua jenis produk tersebut rp. Volume penjualan a sebanyak 40 unit dan b sebanyak 60 unit. Harga jual a sebesar rp. 2000 biaya variabel sebesar rp. Minta contoh bep yg multi produk tapi biaya tetap sama biaya variabelnya digabung balas hapus.
Perhatikan contoh soal break even point dan grafiknya berikut ini. 10000000 biaya gaji pemilik. Namun kedua produk itu dihasilkan dengan mesin yang sama sehingga pembebanan biaya tetap terhadap masing masing jenis produk tidak mungkin dilakukan tanpa perhitungan yang masak. Biaya tetap dalam sebulan adalah sebanyak rp. 150 juta yang terbagi dari.















