Sebuah dialog interaktif pasti mempunyai kesimpulan yang bisa diambil pelajarannya oleh para pendengar. Kesimpulan adanya rangkuman mengenai hal hal yang penting pada saat dialog interaktif di lakukan.
                        Contoh Dialog Interaktif Dan Pokok Pokok Informasi Tersebut
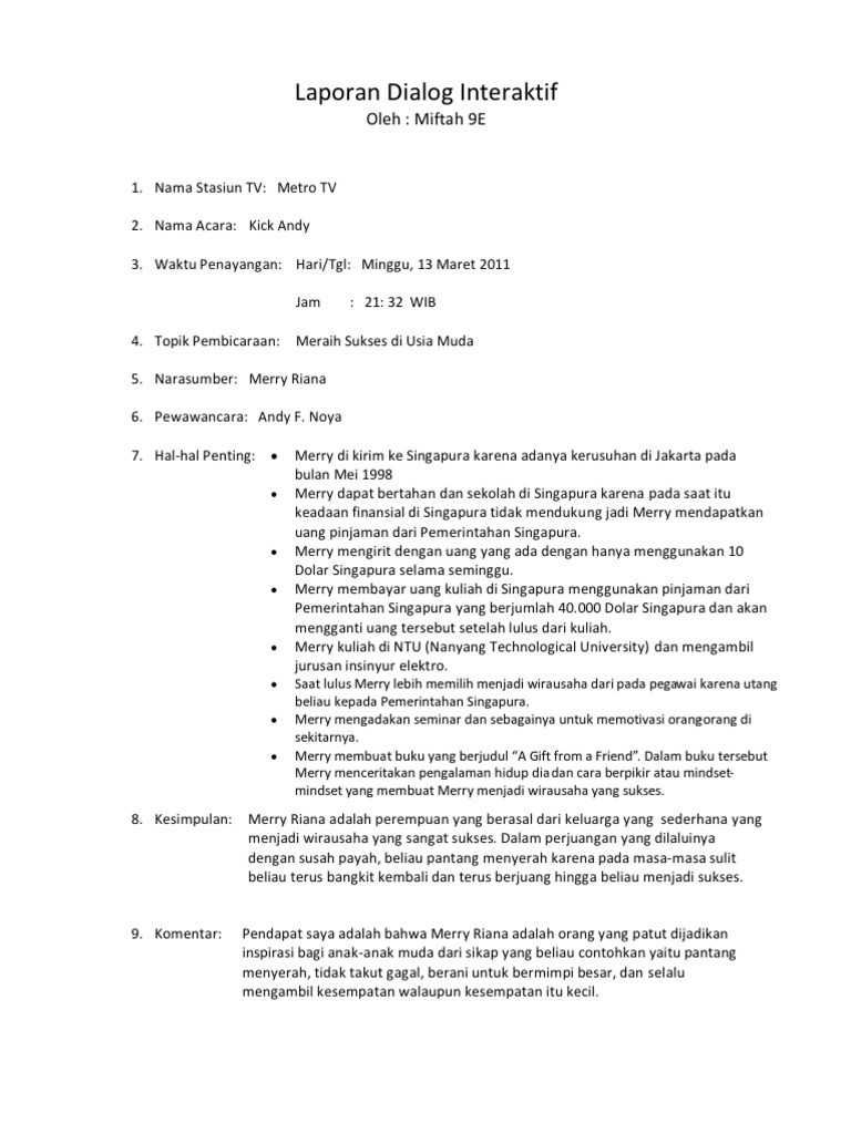
Contoh dialog interaktif beserta kesimpulan. Kontroversi puisi kebangsaan yang dibawakan oleh sukmawati sukarnoputri. Dialog interaktif pengertian contoh keseahtan kesimpulan dosenpendidikancom dialog interaktif terdiri dari dua kata yaitu dialog dan interaktif dimana kata dialog berarti karya tulis yang disajikan dalam bentuk percakapan antara dua tokoh atau lebih sementara pengertian interaktif adalah bersifat saling aksi. Contoh dialog interaktif dan kesimpulan nyan contoh dialog interaktif dan kesimpulan nyandcompany contoh dialog interaktif dan kesimpulan nyaa contoh dialog interaktif dan kesimpulan ny and co contoh dialog interaktif dan kesimpulan nyambi contoh dialog interaktif dan kesimpulannya contoh dialog interaktif dan kesimpulannya contoh dialog interaktif tentang kenakalan remaja contoh. Contoh teks dialog interaktif singkat memang kebanyakan akan kita temui dalam sebuah acara talkshow saat ini mulai dari yang memabahas isu politik dan masih banyak lagi. Oh ya jika sobat ingin contoh lain silahkan klik tulisan tulisan biru yang ada diatas yang tentunya sudah sangat lengkap dan detail saya jelaskan. Nah dari berbagai acara tv dialog interaktif lebih sering kita jumpai pada acara berita pagi ataupun talk show seperti pada channel metro tv dan juga tv one yang memang sudah kita kenal bahwa channel tersebut sering sekali mengadakan.
Contoh soal dialog interaktif singkat dan panjang lengkap by mughnifar ilham posted on march 17 2020 contoh soal dialog interaktif dialog interaktif adalah sebuah dialog atau perbincangan atau percakapan yang dilakukan pada sebuah acara di televisi atau radio antara pembawa acara dengan pendengar melalui sambungan telepon. Eggy supratno dan habib. Walaupun biasanya kesimpulan tersebut dibacakan oleh moderator namun kita juga harus menyimpulkan nya sendiri sebab bisa jadi apa yang kita dapat berbeda dengan yang orang lain dapatkan. Kalian bisa menyaksikan langsung di metro tv tv one dll. Sekarang saya mau berbagi beberapa contoh dialog interaktif beserta kesimpulannya karena sebelumnya saya sudah pernah membuat contohnya saya akan membahas yang itu saja yaitu tentang vaksin palsuberikut ulasannya. Contoh dialog interaktif beserta kesimpulannya.
19 contoh dialog interaktif singkat beserta kesimpulan 2019. Penyiar selamat pagi para pendengar jumpa lagi bersama saya iis dahniar dalam acara siaran radio duta dua kesehatanyakni acara yang memberikan informasi seputar dunia kesehatan. Nah setelah kita membahas mengenai apa saya unsur unsur dan juga ketentuan dari pembuatan dialog interaktif maka yang selanjutnya adalah membahas mengenai contoh contoh dialog interaktif. Contoh dialog interaktif dengan 5w1h dan kesimpulan contoh dialog interaktif. Selamat malam pak eggy dan pak habib. Dialog interaktif adalah materi smp kelas 9 yang akan kita pelajari kali inidialog interaktif ini sangat sering kita jumpai di berbagai media massa terutama tv.
Apabila kedua kata ini digabungkan maka akan berarti karya tulis.













